深度优先搜索和广度优先搜索(详解及Python实现)
日期: 2020-09-02 分类: 跨站数据测试 504次阅读
1. 简介
深度优先搜索(DFS):对每一个可能的分支路径深入到不能再深入为止,而且每个节点只能访问一次。
举例:

上图是一个无向图,如果从A点发起深度优先搜索(以下的访问次序并不是唯一的,第二个点既可以是B也可以是C,D),则我们可能得到如下的一个访问过程:A->B->E(没有路了!回溯到A)->C->F->H->G->D(没有路,最终回溯到A,A也没有未访问的相邻节点,本次搜索结束)
深度优先遍历图的方法是,从图中某顶点v出发:
- (1) 访问顶点v;
- (2) 依次从v的未被访问的邻接点出发,对图进行深度优先遍历;直至图中和v有路径相通的顶点都被访问;
- (3) 若此时图中尚有顶点未被访问,则从一个未被访问的顶点出发,重新进行深度优先遍历,直到图中所有顶点均被访问过为止。
广度优先搜索算法(BFS,又称 宽度优先搜索)是最简便的图的搜索算法之一,这一算法也是很多重要的图的算法的原型。
- (1) 访问顶点v;
- (2) 访问v的未被访问的所有邻接点;
- (3) 从V的所有领接点出发,访问所有的领接点;
- (4) 重复以上操作,直到图中所有顶点均被访问过为止。
下面举个例子:
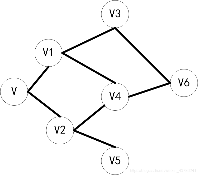
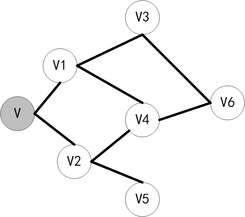
下图为一个无向图,从V出发,广度遍历整个无向图:

先访问顶点V:

再访问V的领接点V1、V2

然后访问V1、V2的领接点V3、V4、V5

最后访问V3、V4的领接点V6

2. python举例
LeetCode104. 二叉树的最大深度
给定一个二叉树,找出其最大深度。二叉树的深度为根节点到最远叶子节点的最长路径上的节点数。说明: 叶子节点是指没有子节点的节点。
示例:
给定二叉树 [3,9,20,null,null,15,7],

返回它的最大深度 3 。
- DFS
# Definition for a binary tree node.
class TreeNode(object):
def __init__(self, x):
self.val = x
self.left = None
self.right = None
class Solution(object):
def maxDepth(self, root):
"""
:type root: TreeNode
:rtype: int
"""
if root is None:return 0
else:
l = self.maxDepth(root.left)
r = self.maxDepth(root.right)
return max(l, r)+1
- BFS
# Definition for a binary tree node.
class TreeNode(object):
def __init__(self, x):
self.val = x
self.left = None
self.right = None
class Solution(object):
def maxDepth(self, root):
"""
:type root: TreeNode
:rtype: int
"""
if root is None:return 0
else:
from collections import deque
depth = 0
queue = deque([root])
while queue:
depth += 1
layer_nood = []
while queue:
root = queue.popleft()
if root.left:layer_nood.append(root.left)
if root.right:layer_nood.append(root.right)
queue = deque(layer_nood)
return depth
除特别声明,本站所有文章均为原创,如需转载请以超级链接形式注明出处:SmartCat's Blog
精华推荐
