数据包络分析1
日期: 2020-12-04 分类: 跨站数据测试 485次阅读
DEA–CCR模型
首先,DEA,也就是data envelopment analysis,它是一种运筹学和研究经济生产边界的一种方法,也是一种效率评价的方法。
分式模型
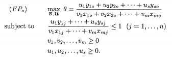
首先对于数据,我们有投入数据X还有输出数据Y。我们给它们附以权重值,给X赋值v,给Y赋值u,要注意的是,这里的u、v是未知的且都是非负值,这样就可以得到虚拟的投入与虚拟的产出。

将其进行比值计算。按照常理,输出越大越好,投入越少越好,这样的结构才是最合理的,那么我们就希望这个比值越大越好。

接下来,我们可以对这个比值作出假设,假设它的范围在0到1之间。数据是给定的,即已知的,那些个权重是未知的,我们要做的便是确定这些权重的值,使得目标函数最大,并且对于其他决策单元(DMUs)来说,它们的比值也满足0到1这个假设。分式规划如下(fractional programming):

线性模型
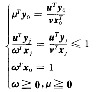
分式模型计算时候比较麻烦,因此对其进行变形。
是将上面的分式模型的分母部分令其为t,即:
继而进一步变形:

最终得到模型:

在我上述的图片中,最终线性模型用的权重参数是w、u,但是在很多其他书本上,用的是与分式模型中一样的u,v:

不管用的是什么,只要知道它们的含义其实是不同的!并且这个思想挺重要的,在后续dea学习中也会出现。
对偶模型
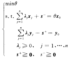
有了线性规划模型以后,我们可以运用运筹学线性规划的知识对其变形。目标函数有求max变成求min。具体怎么变化的请自学运筹学。得到对偶模型:

由于限制条件并不是等式,添加松弛变量,得到:

目前我个人学习过程中,对偶模型出现的频率更高一点。比如图片中的这个模型,是基于投入向的。是对所考虑的DMU的投入x0进行一个比例theta倍的压缩之后,再用松弛变量进行微调。又是这个模型是input-oriented,此时的产出y0就只进行微调。反之亦然,如果是基于输出向的模型,就是投入x0进行微调,产出y0经过压缩之后在进行微调。
并且有一个概念,分式模型与线性模型称为乘子型,而对偶模型称为包络型。
DEA有效
接下来讲一下有效的概念。由于分式模型与线性模型是等价的,我们就详细说一下线性模型与对偶模型。对于包络型,也就是对偶型来说,只有目标函数theta为1且所有的松弛变量都是零时,我们才能说这个DMU0是有效的。而对于线性模型来说,若只有目标函数为1这个条件,只能说这个DMU0是弱有效的,其实也就是无效;但是如果既满足目标函数为1并且系数u、v是大于零的,这时候才能说这个DMU0是有效的(强有效)。
R代码
包络型:
library(Benchmarking)
x=matrix(c(2,2,5,10,10,3,12,8,5,4,6,12),ncol=2)
y=matrix(rep(1,6),ncol=1)
te=dea(x,y,RTS = "crs")##CCR模型的生产可能集是不变规模报酬(constant returns to scale)
rbind(te$eff,te$lambda)
线性模型:
library(Benchmarking)
x=matrix(c(2,2,5,10,10,3,12,8,5,4,6,12),ncol=2)
y=matrix(rep(1,6),ncol=1)
te=dea.dual(x,y,RTS = "crs")##CCR模型的生产可能集是不变规模报酬(constant returns to scale)
te$eff
te$u
te$v
除特别声明,本站所有文章均为原创,如需转载请以超级链接形式注明出处:SmartCat's Blog
精华推荐
