吴恩达机器学习作业ex1-线性回归
日期: 2019-08-11 分类: 跨站数据测试 456次阅读
1.单变量线性回归
案例:假设你是一家餐厅CEO,正在考虑开一家新店,根据该城市的人口预测其利润。
1.1理论知识

训练集和假设函数

i代表样本

采用梯度下降的方法求θ,开始可设θ0和θ1为0


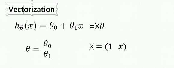
向量化(针对多个特征变量的情况,本次作业只有一个变量)


J = ( X * theta - y )’ * ( X * theta - y ) / (2*m) 与上面代价函数等价
1.2任务要求
- Plot the data
data = load('ex1data1.txt');
X = data(:, 1); y = data(:, 2);
m = length(y); % number of training examples
% Plot Data
% Note: You have to complete the code in plotData.m
plotData(X, y);
- Cost and Gradient descent
代价函数代码如下:
function J = computeCost(X, y, theta)
%COMPUTECOST Compute cost for linear regression
% J = COMPUTECOST(X, y, theta) computes the cost of using theta as the
% parameter for linear regression to fit the data points in X and y
% Initialize some useful values
m = length(y); % number of training examples
% You need to return the following variables correctly
J = 0;
% ====================== YOUR CODE HERE ======================
% Instructions: Compute the cost of a particular choice of theta
% You should set J to the cost.
J = ( X * theta - y )' * ( X * theta - y ) / (2*m) ;
% =========================================================================
end
梯度下降代码如下:
function [theta, J_history] = gradientDescent(X, y, theta, alpha, num_iters)
%GRADIENTDESCENT Performs gradient descent to learn theta
% theta = GRADIENTDESCENT(X, y, theta, alpha, num_iters) updates theta by
% taking num_iters gradient steps with learning rate alpha 迭代次数
% Initialize some useful values
m = length(y); % number of training examples
J_history = zeros(num_iters, 1);
for iter = 1:num_iters
% ====================== YOUR CODE HERE ======================
% Instructions: Perform a single gradient step on the parameter vector
% theta.
%
% Hint: While debugging, it can be useful to print out the values
% of the cost function (computeCost) and gradient here.
%
temp0=theta(1,1)-alpha/m*(m*theta(1,1)+theta(2,1)*sum(X(:,2))-sum(y));
temp1=theta(2,1)-alpha/m*(theta(1,1)*sum(X(:,2))+(X(:,2))' * (X(:,2)*theta(2,1) - y));
theta(1,1)=temp0;
theta(2,1)=temp1;
%以上为自己修改的方案
%笔记的方案:theta = theta - alpha/m * X' * (X*theta - y);
% Save the cost J in every iteration
J_history(iter) = computeCost(X, y, theta);
end
end
实现代码:
X = [ones(m, 1), data(:,1)]; % Add a column of ones to x
theta = zeros(2, 1); % initialize fitting parameters
% Some gradient descent settings
iterations = 1500;
alpha = 0.01;
fprintf('\nTesting the cost function ...\n')
% compute and display initial cost
J = computeCost(X, y, theta);
fprintf('With theta = [0 ; 0]\nCost computed = %f\n', J);
fprintf('Expected cost value (approx) 32.07\n');
% further testing of the cost function
J = computeCost(X, y, [-1 ; 2]);
fprintf('\nWith theta = [-1 ; 2]\nCost computed = %f\n', J);
fprintf('Expected cost value (approx) 54.24\n');
fprintf('Program paused. Press enter to continue.\n');
pause;
fprintf('\nRunning Gradient Descent ...\n')
% run gradient descent
theta = gradientDescent(X, y, theta, alpha, iterations);
% print theta to screen
fprintf('Theta found by gradient descent:\n');
fprintf('%f\n', theta);
fprintf('Expected theta values (approx)\n');
fprintf(' -3.6303\n 1.1664\n\n');
% Plot the linear fit
hold on; % keep previous plot visible
plot(X(:,2), X*theta, '--')%此时X为两列
legend('Training data', 'Linear regression')
hold off % don't overlay any more plots on this figure
function [theta, J_history] = gradientDescent(X, y, theta, alpha, num_iters)
%GRADIENTDESCENT Performs gradient descent to learn theta
% theta = GRADIENTDESCENT(X, y, theta, alpha, num_iters) updates theta by
% taking num_iters gradient steps with learning rate alpha 迭代次数
% Initialize some useful values
m = length(y); % number of training examples
J_history = zeros(num_iters, 1);
for iter = 1:num_iters
% ====================== YOUR CODE HERE ======================
% Instructions: Perform a single gradient step on the parameter vector
% theta.
%
% Hint: While debugging, it can be useful to print out the values
% of the cost function (computeCost) and gradient here.
%
temp0=theta(1,1)-alpha/m*(m*theta(1,1)+theta(2,1)*sum(X(:,2))-sum(y));
temp1=theta(2,1)-alpha/m*(theta(1,1)*sum(X(:,2))+(X(:,2))' * (X(:,2)*theta(2,1) - y));
theta(1,1)=temp0;
theta(2,1)=temp1;
%以上为自己修改的方案
%笔记的方案:theta = theta - alpha/m * X' * (X*theta - y);
% Save the cost J in every iteration
J_history(iter) = computeCost(X, y, theta);
end
end

3. 可视化代价函数
%% ============= Part 4: Visualizing J(theta_0, theta_1) =============
fprintf('Visualizing J(theta_0, theta_1) ...\n')
% Grid over which we will calculate J
theta0_vals = linspace(-10, 10, 100);
theta1_vals = linspace(-1, 4, 100);
% initialize J_vals to a matrix of 0's
J_vals = zeros(length(theta0_vals), length(theta1_vals));
% Fill out J_vals
for i = 1:length(theta0_vals)
for j = 1:length(theta1_vals)
t = [theta0_vals(i); theta1_vals(j)];
J_vals(i,j) = computeCost(X, y, t);
end
end
% Because of the way meshgrids work in the surf command, we need to
% transpose J_vals before calling surf, or else the axes will be flipped
J_vals = J_vals';
% Surface plot
figure;
surf(theta0_vals, theta1_vals, J_vals)
xlabel('\theta_0'); ylabel('\theta_1');
% Contour plot
figure;
% Plot J_vals as 15 contours spaced logarithmically between 0.01 and 100
contour(theta0_vals, theta1_vals, J_vals, logspace(-2, 3, 20))
xlabel('\theta_0'); ylabel('\theta_1');
hold on;
plot(theta(1), theta(2), 'rx', 'MarkerSize', 10, 'LineWidth', 2);


除特别声明,本站所有文章均为原创,如需转载请以超级链接形式注明出处:SmartCat's Blog
标签:吴恩达机器学习作业
精华推荐
