(一)基于Multisim的电台发射系统:振荡器的设计
日期: 2020-12-13 分类: 跨站数据测试 885次阅读
(一)基于Multisim的电台发射系统
写在前面
1.本系列分为五篇,包括(一)振荡器的设计、(二)振幅调制器的设计、(三)高频功率放大器的设计、(四)低频功率放大器的设计和(五)缓冲器的设计,使用的软件均为Multisim14。
2.下一个系列为基于Multisim的超外差接收系统,敬请期待。
3.免费分享整个电台发射系统Multisim电路设计原文件,评论留言就好啦。
4.转载请标明原创作者,谢谢。
系统要求
1.载波信号频率
535
−
1605
k
H
z
535-1605kHz\,
535−1605kHz
2.中频信号频率
465
k
H
z
465kHz\,
465kHz
3.调制信号频率
500
H
z
−
10
k
H
z
500Hz-10kHz\,
500Hz−10kHz
基本原理
电台发射系统是以自由空间为传输信道,把需要传输的信号加载到高频振荡中变换成电磁波的形式发送到远方的接收点。
电台发射系统总体框架如图所示。
为了提高频率稳定度,采用改进型的电容三端振荡器——西勒振荡器,并在它后面加上缓冲器,以削弱后级对主振器的影响。振幅调制器是发射机的核心,采用模拟乘法器实现对载波信号和输入信号的调制。AM调制虽然功率利用率低,抗干扰能力差,但是接收设备简单,仍广泛应用于电台发射系统。高频功率放大器将调制信号的功率进行放大,以便信号的发送。

振荡器的设计
西勒电路
主振器是调幅发射机的核心部件,主要用来产生一个频率稳定、幅度较大、波形失真小的高频正弦波信号作为载波信号。由于实验对振荡频率稳定度要求较高,所以采用西勒振荡器,西勒电路原理图如图所示。

西勒电路是在克拉泼电路基础上,在电感L两端并联一个电容
C
4
C_4\,
C4。电路条件仍是
C
3
<
<
C_3<<\,
C3<<
C
1
C_1\,
C1,
C
4
<
<
C_4<<\,
C4<<
C
1
C_1\,
C1,
C
3
C_3\,
C3与
C
4
C_4\,
C4同数量级。回路总电容为:

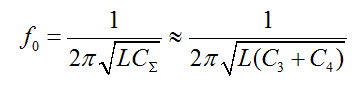
并联谐振回路中,可以计算出谐振频率的公式:

由以上分析可以看出,西勒振荡器具有晶体管与回路耦合弱的特点,频率稳定度高。输出振荡电压幅度基本保持平稳,可在宽频段工作,适用于产生载波。
Multisim电路及分析
载波可表示为
S
(
t
)
=
A
c
o
s
(
w
c
)
S(t)=Acos(w_c)\,
S(t)=Acos(wc),其中
A
A\,
A为载波幅度,
w
c
w_c\,
wc为载波角频率,载波初始相位为
0
0\,
0。

如上图所示,设载波频率为
664.7
k
H
z
664.7kHz\,
664.7kHz。
1.
V
1
V1\,
V1是电源电压,提供集电极较高的电压。为了能产生振荡,与其连接处应接入一开关,振荡前开关断开,振荡时开关闭合。
2.
R
2
R_2\,
R2与
R
3
R_3\,
R3是偏置电阻,为基极提供偏置电压,具有负反馈的作用。细调
R
2
R_2\,
R2与
R
3
R_3\,
R3,改变电路的品质因数
Q
Q\,
Q,使三极管工作在放大状态。
3.集电极添加高频扼流圈,防止载波影响集电极电流。
4. 电路参数计算过程如下。
首先设定
C
2
=
1
n
F
C_2=1nF\,
C2=1nF、
C
3
=
33
n
F
C_3=33nF\,
C3=33nF,因为已知
C
4
<
<
C_4<<\,
C4<<
C
2
C_2\,
C2,先设定
C
4
=
47
p
F
C_4=47pF\,
C4=47pF,
C
5
C_5\,
C5为可变电容,便于调节。
由下式,得:
L
2
=
0.737
m
H
L_2=0.737mH\,
L2=0.737mH,
C
5
=
25.192
p
F
C_5=25.192pF\,
C5=25.192pF。

仿真结果
仿真时,根据频率计显示的数字,适当调节可变电容和可变电阻,直至达到预计频率,此时的电路图及仿真结果如图所示。起振过后,频率逐渐趋于稳定,波形较为稳定时,频率稳定度计算为:




振幅调制器的设计
请见下一篇(二)基于Multisim的电台发射系统:振幅调制器的设计。
高频功率放大器的设计
请见下一篇(三)基于Multisim的电台发射系统:高频功率放大器的设计。
低频功率放大器的设计
请见下一篇(四)基于Multisim的电台发射系统:低频功率放大器的设计。
缓冲器的设计
请见下一篇(五)基于Multisim的电台发射系统:缓冲器的设计。
除特别声明,本站所有文章均为原创,如需转载请以超级链接形式注明出处:SmartCat's Blog
标签:高频电子线路 经验分享
上一篇: 在VMware使用linux操作系统
下一篇: 神州信息Java开发面经 12月10号
精华推荐
